Análisis de variables climatológicas, en dos coberturas vegetales, de los Andes centrales, Colombia


Analysis of climatological variables, in two plant cover, from the Central Andes, Colombia



César Román-Valencia 1 ; Raquel Ivveth Ruiz-Calderón 2 ; Silvana Velez 3.


1. Universidad del Quindío, Colombia. ceroman@uniquindio.edu.co

2. Universidad del Quindío, Colombia. zutana_1@yahoo.com

3.Universidad del Quindío, Colombia. silvanavelez10@gmail.com


*Autor de correspondencia: César Román-Valencia, email:ceroman@uniquindio.edu.co


Información del artículo:

Artículo original

DOI: https://doi.org/10.33975/riuq.vol35n1.1006

Recibido: 31agosto 2022; Aceptado: 15 marzo 2023


ISSN: 1794-631X e-ISSN: 2500-5782

Esta obra está bajo una licencia Creative Commons Atribución-NoComercial-SinDerivadas 4.0 Internacional.


Cómo citar: Román-Valencia, César; Ruiz-Calderón, Raquel Ivveth & Velez, Silvana. (2023). Análisis de variables climatológicas, en dos coberturas vegetales, de los Andes Centrales, Colombia. Revista de Investigaciones Universidad del Quindío, 35(1), 112-147. https://doi.org/10.33975/riuq.vol35n1.1006



RESUMEN


Entre octubre 2014 y enero de 2021 se analizaron variables climatológicas, tales como: temperaturas del aire, máxima, mínima, del suelo y humedad relativa. Se observó efecto del estado del bosque a través de la restauración por sucesión, en relación a lo registrado en otras zonas expuestas a deforestación. En general, se registró que la temperatura del aire dentro del bosque son bajas de 11°C y altos de 29.4°C; mientras fuera del bosque en lote en restauración se examinaron cambios, por debajo 12°C y cercanos a los 42°C. En temperaturas máxima y mínima se observó que las mayores oscilaciones se dieron fuera en lote en restauración (varió en 11°C media de 16.9°C vs. en 10°C, promedio de 16°C dentro del bosque). La temperatura del suelo es mayor en el lote en restauración (media 18.2°C) al comparar con la obtenida dentro (media 16.8°C), excepto en 2018; sin embargo, su variación se solapa en ambas coberturas (lotes en restauración 10.0-29.0°C y dentro bosque secundario 11.0-25.0°C). Se halló que la humedad relativa es mayor (promedio 75.6%) dentro del bosque secundario al comparar en lote en restauración (media 71.4%); también dentro del bosque secundario se anotaron registros entre 28.0 % y 100%, fuera en lote en restauración se distinguieron variaciones entre 18.0% y 99.0%, se exploraron datos de humedad relativa cercanos a 20% en 2018, y cercanos a 90-100% en 2019.


Palabras clave:
Temperaturas; Humedad relativa; Efecto antrópico; Montaña; Neotrópico.


ABSTRACT


Between October 2014 and January 2021 was analyzed for climatological variables such as: air temperature (maximum and minimum), soil temperatures and relative humidity. In general, it was observed that the air temperature within the secondary forest had lows of 11°C and highs of 29.4°C; while in forest patches under restoration, differences were observed, below 12°C and close to 42°C. At maximum and minimum temperatures it was observed that the greatest oscillations were outside the secondary forest relict in patches under restoration (varying by 11°C, mean of 16.9°C vs. by 10°C, average of 16°C within the forest). The soil temperature is higher in patches under restoration and outside the forest (mean 18.2°C) than inside (mean 16.8°C), except in 2018; however, its variation overlaps in both sampling stations (outside 10.0-29.0°C and inside 11.0-25.0°C). Relative humidity was found to be higher (average 75.6%) within the secondary forested relict than outside in patches under restoration (average 71.4%); also within the secondary forested relict, values were observed between 28.0% and 100%, outside the forest in patches under restoration variations between 18.0% and 99.0% were noted, relative humidity data close to 20% were recorded in 2018, and close to 90-100% in 2019.


Keywords: Temperatures; Relative Humidity; Anthropic Effect; Mountain; Neotropics.


INTRODUCCIÓN


Con base a registros históricos, ha sido evidente el rol de los patrones climatológicos en acompañar cambios espaciales y ecológicos respecto en diferentes áreas del Quindío (García et al., 2012; Román-Valencia et al., 2018). Sin embargo, ambas problemáticas (i.e. modificación de las coberturas vegetales y alteración de patrones climatológicos) no han sido asociadas previamente en ecosistemas de los Andes Colombianos (ver Restrepo-Betancur et al. [2019] para áreas urbanas). Por lo tanto, describir y entender como las condiciones climáticas han variado desde décadas pasadas podría permitir plantear acciones de conservación y restauración biológica que incluyan prevención, adaptación y mitigación al cambio climático.


Las temperaturas del aire, suelo, la humedad relativa y la precipitación están entre los factores abióticos más importantes que modulan las características macro ecológicas (Sturm et al., 1970; Sturm & Abouchaar, 1981; Rangel & Aguirre, 1986; Rangel et al., 1989; Van Der Hammen 1995; Van der Hammen et al., 1995; Easterling et al., 1997; Harrington et al. , 1999; Pounds et al., 1999; Hughes, 2000; Cadena et al., 2016; Roa-García & Brown, 2016; Rungruangsak-Torrissen, 2016; Gómez-Cruz et al., 2021). Es decir, el clima local es determinante en la composición y estructura las comunidades biológicas en diferentes ecosistemas.


Este trabajo buscó determinar los principales cambios, en tiempo (horas, días, meses, años) y espacio (coberturas vegetales), de cinco variables climáticas: temperaturas del aire, máxima, mínima, del suelo y humedad relativa del aire, obtenidas in situ, durante el periodo 2014-2021, en la reserva Mirador-Recreo, y de 2011 al 2018 en diferentes meses en estos años en el campus de la Universidad del Quindio, Armenia, Colombia y en un hábitat de Risaralda.


MATERIAL Y MÉTODOS


Área de estudio
: El trabajo se llevó a cabo en una localidad del flanco occidental de la Cordillera Central (04° 25´ 58,3´´N; 075° 38´ 55,7´´O) en el corregimiento de quebrada Negra, vereda Vista Hermosa, municipio de Calarcá, Quindío, Colombia. La finca Mirador-Recreo, de ca. 9 hectáreas, comprende alturas entre 1900 y 2000 msnm correspondientes a una zona muy húmeda subtropical (Holdridge, 1968; Mejía, 1983). La finca tiene al menos tres tipos de coberturas vegetales. Primero, un cultivo tradicional de café con sombrío. Esta área que incluye aproximadamente el 2% de la finca, se encuentra dominada principalmente por Coffea arabiga variedades Arábigo, Caturra y Borbón. Segundo, tres lotes en restauración natural y guadual (Guadua angustifolia), que incluyen el 2% del área en la finca. Hasta hace 7 años, los tres lotes en restauración correspondían a potreros dedicados al pastoreo para ganado vacuno. En la actualidad, los lotes en restauración natural incluyen algunas siembras de árboles nativos tales como Chachafruto (Erythrina edulis), Guamo Santafereño (Inga edulis), Casco de Buey (Bauhinia sp.), Quiebra Barrigo o Nacedero (Trichanthera gigantea), Guayaba (Psidium guajava), Vainillo (Senna spectabilis), Cedro negro (Junglas neotropica), Papayuelo (Vasconcellea goudotiana), además de vegetación arbustiva como Mora silvestre (Rubus ulmifolius). Tercero, bosques secundarios con vegetación arbustiva (1-2 m de altura) y predominantemente arbórea de Euphorbiaceae, Actinidiaceae, Araliaceae (5-20 m de altura) que comprende 96% de la superficie de la finca; que incluyen especies de Heliconias (H. burdeana y H. griggsian Cardozo et al., 2018).


Estas coberturas en Mirador-Recreo albergan el hábitat de 20 especies de abejas nativas correspondientes a las familias Apidae (17 especies: Apis mellifera, Bombos pauloensis, B. hortulanus, Epicharis sp. Euglossa sp. Eulaema cingulata, E. meriana, E. polychroma, Melipona nigrescens, Parapartamona caliensis, Paratrigona rinconi, Partamona peckolti, Thygater aethiops, Thygater sp. Trigona amalthea, Xylocopa lachnea, X. frontalis), Collectidae (2 especies: Colletes sp. y Ptiloglossa sp.) y Megachilidae (una especie: Megachile sp).


Este lugar representa la generalidad del paisaje natural de montaña andina en Colombia. Sin embargo, diferentes áreas en zonas altas y bajas del departamento del Quindío también presentan introducciones de Pinos (Pinus spp.), Eucaliptos (Eucalyptus spp.) y reciente el Aguacate Hass (Persea americana). Por su ubicación en la montaña, la finca Mirador-Recreo es representativa de áreas de cafetales (>2000 msnm) que comprenden aproximadamente 12701 hectáreas (4,41%) en el departamento (POMCA, 2008). Adicionalmente, el área de bosque secundario o ripario en la finca Mirador-Recreo es modelo del suelo cubierto por selvas y vegetación natural entre 2200 y 3399 msnm en el departamento del Quindío que corresponde aproximadamente al 24% de la extensión del departamento Colombiano (Agudelo Henao et al., 2006; POMCA, 2008). Sin embargo, las coberturas de bosque entre 1100 y 2200 msnm son escasas en la zona y en su mayoría presentan extensiones de menos de 30 hectáreas (García Parra et al., 2008). El resto de los suelos a estas alturas (1100 y 2200 msnm) están ocupados principalmente por pastos, cultivos tecnificados y ciudades (POMCA, 2008).


Para los reportes de las especies de abejas (Insecta: Hymenoptera) en el área del estudio in situ, se consultó la base de datos de la colección de insectos de la Universidad del Quindio, Armenia, Colombia (CIUQ).


Datos climáticos
in situ: Mensualmente durante siete años (entre octubre 2014 y enero de 2021), se registraron los siguientes datos climáticos, correspondientes a cinco variables climáticas: (1) temperatura del aire (con un termohigrometro Brixco modelo 4035; ±1°C), (2) temperatura máxima (con termómetro Brixco modelo 4052; ±1°C), (3) temperatura mínima (con termómetro Brixco modelo 4052), (4) temperatura del suelo (con termómetro Brixco modelo 4132; ±1°C), y (5) la humedad relativa (con termohigrometro Brixco modelo 4035; 1%). La temperatura del aire se registró a un metro del suelo; mientras la temperatura del suelo se exploró con un termómetro de suelo ubicado en una abertura que se hizo manualmente en la capa superficial del suelo. Cada toma de datos se realizó una o dos veces, se colectaron replicas y se verificaron en caso de duda, dentro de cada intervalo. Las mediciones climáticas en este estudio se llevaron a cabo durante el día (6:00 hr-18:00 hr). Además, se hicieron cuatro muestreos de éstas mencionadas variables, dentro y fuera del bosque, durante 24 horas, cada 30 minutos (9 hr-11 hr del día siguiente), en noviembre y diciembre de 2020, así como en enero y junio de 2021.


Las mediciones de temperaturas y humedad relativa se realizaron en el área de restauración y bosque secundario o ripario. En el espacio en restauración natural se seleccionó solo un fragmento de aproximadamente cuatro metros cuadrados. Este cuadrante se caracterizó por presentes vegetación arbustiva (Román-Valencia et al. sometido 2022), helechos y pastos para ganado vacuno. En esta área, durante 12 horas entre las 6:00hr y las 18:00 hr, se realizaron lecturas de temperatura del aire cada 15 minutos (total 48 lecturas/día), 30 minutos (total 24 lecturas/día) o 60 minutos (total 12 lecturas/día). Adicionalmente, se registró la temperatura del suelo en intervalos de 15, 30 o 60 minutos, durante 12 horas entre las 6:00hr y las 18:00 hr. En el bosque secundario se realizó una lectura, de cada variable analizada en este trabajo, cada 15 (total 48 lecturas/día), 30 (total 24 lecturas/día) o 60 minutos (total 12 lecturas/día), durante 12 horas entre las 6:00hr y las 18:00 hr. Se realizaron lecturas de temperatura del suelo en intervalos de 15, 30 o 60 minutos, durante 12 horas entre las 6:00hr y las 18:00 hr. Para la humedad relativa se realizaron lecturas con intervalos de 15, 30 o 60 minutos, durante 12 horas entre las 6:00hr y las 18:00 hr.


Mediciones climáticas (temperaturas y humedad relativa)
ex situ: Además de los datos in situ (en la finca Mirador-Recreo), se examinaron datos climáticos en estaciones cercanas para comparar y establecer cambios en tiempo y espacio sobre las variables analizadas (i.e. temperaturas y humedad relativa) en este trabajo. Los datos climáticos, ex situ, se obtuvieron de la página web de Centro Nacional de Investigaciones del Café, Chinchiná, Caldas, Colombia (Cenicafe; www.cenicafe.org) entre 1951 hasta 2019 sobre las siguientes estaciones climáticas localizadas cerca al área del estudio: La Bella (entre 1951-2018), a 1449 msnm Calarcá, Quindío; ubicada a 17 km; Paragüacito (entre 1963-1977), Buenavista, a 1203 msnm; ubicada a 38 km; Maracay (entre 1982-2019), Quimbaya, a 1402 msnm; localizada a 47 km de la zona de estudio. Los datos recopilados, diarios (tres veces al día) y mensuales desde 1951 hasta 2019, se tomaron de forma remota. En la recolecta de información por CENICAFE utilizaron el siguiente equipo: termómetro de mercurio con estrangulamiento para la temperatura máxima, termómetro de alcohol para la temperatura mínima, psicrómetro normal con aspirador, termohigrógrafo con sensores bimetálico y de cabellos para la temperatura y humedad relativa respectivamente. El horario de observaciones climáticas en la base de datos corresponde a las 07:00, 13:00 y 19:00 horas.


Además de lo anterior, se realizó también un registro de 24 horas para la temperatura media del aire, temperatura mínima y humedad relativa en dos tipos de coberturas vegetales (Dentro del bosque y Fuera del bosque) en la vereda El Cairo, municipio de Quinchía en el departamento de Risaralda, a 1811 m.s.n.m.


E igualmente se hicieron registros de temperaturas (media del aire, minima, máxima y del suelo) y humedad relativa en el campus de la Universidad del Quindio, Armenia, Colombia (04° 33´ 14,7´´N; 075° 39´ 44,2´´O) a una altura de 1537 msnm, así:


Análisis de datos


Datos
in situ: Los datos pertenecientes a cada cobertura (bosque secundario y lote en restauración) fueron organizados en una matriz donde las filas son los eventos de muestreo (meses o años) y las columnas corresponden a las variables climáticas analizadas (temperaturas del aire promedio, máxima y mínima, humedad relativa y temperatura del suelo); así las celdas incluyeron los registros en la unidad de tiempo analizada de cada variable climática. Primero, se calculó el promedio de los datos registrados de forma mensual para los años de muestreo correspondientes (es decir mensual-multianual) para temperaturas (mínima, media y máxima) y humedad relativa en ambos tipos de cobertura (Tabla 1). Segundo, los datos registrados de temperaturas del aire promedio, máxima y mínima y humedad relativa fueron evaluados por una de prueba de normalidad con Shapiro–Wilk, también a través del gráfico de probabilidad normal (Figuras 1,4 y 5 ) se obtuvo el coeficiente de correlación entre los datos observados y la de mediana estadística de orden normal; en este sentido, se aplicó una prueba paramétrica (T de Student) o no paramétrica (Mann-Whitney), para evaluar si existen diferencias en condiciones climáticas durante todo el periodo de estudio entre los dos tipos de cobertura vegetal. Tercero, sobre los datos registrados de temperaturas del aire promedio, máxima y mínima y humedad relativa se usó un Análisis de Componentes Principales (ACP) para examinar la variación multivariada de los datos climáticos analizados (temperaturas y humedad relativa), entre los dos tipos de cobertura mencionados. Además, se aplicó un análisis de covarianza que refleja en que cuantía dos variables aleatorias varían de forma conjunta con respeto a sus medias. Los datos de procesaron con PAST (2001).


En el campus de la Universidad del Quindio, los datos in situ: Se tomaron datos climáticos tales como: temperatura media del aire, máxima, mínima, y del suelo, además, la humedad relativa; durante el periodo correspondiente a 2011 al 2018 en diferentes meses en estos años, para dos hábitats (Dentro del bosque y fuera del bosque), ubicadas en el campus de la Universidad del Quindío, Armenia, Colombia. En estos momentos se utilizaron termómetro convencional y un higrómetro posicionados a un metro del suelo. La temperatura del suelo fue registrada con un termómetro situado en una abertura que se realizó en la capa superficial del suelo. Los datos climáticos se tomaron predominantemente entre las 7:00hrs a las 18:00hrs con intervalos de 15 y 30 minutos.


Los datos se organizaron en una matriz de Excel por horas, meses y años, en donde se halló la media, mediana, desviación estándar, valor mínimo y máximo, posteriormente se realizó, la prueba de normalidad de Shapiro-Wilk en el software R-studio, para cada variable; de acuerdo a este proceso se aplicó las pruebas T-student (paramétrica) y Mann-Whitney-Wilcoxon (no paramétrica) para determinar diferencias estadísticas en la media o mediana entre los dos hábitats. Las diferencias o no significativas en las varianzas se comprobaron con las pruebas de Bartlett y Fligner-Killen y las tendencias se verificaron con el test de Mann-Kendall.


Datos
ex situ: El conjunto de datos perteneciente a cada estación meteorológica se organizó en una matriz, donde filas son los eventos de registro disponibles (meses o años) y las columnas corresponden a las variables climáticas analizadas (temperaturas del aire promedio, máxima y mínima y porcentaje de humedad); así las celdas incluyeron los registros en la unidad de tiempo analizada de cada variable climática. Se compararon las características climáticas, con respecto al área de estudio finca Mirador-Recreo, en tres estaciones climatológicas cercanas presentes sobre el pie de monte andino del departamento del Quindío, en los andes de Colombia (La Bella, Maracay y Paragüacito). Los datos de temperaturas media, mínima y máxima, se organizaron desde promedios semanales, mensuales y anuales en tablas, de forma de que los datos promedios se graficaron de forma mensual multianual. Luego de verificar la distribución de los datos de temperaturas (ambiente, máxima, mínima), humedad relativa, así como la temperatura del suelo.


Por último, para cuantificar el cambio de las variables analizadas en la zona de estudio, se compararon sus registros tanto en tiempo (in situ entre octubre 2014 y enero de 2021 y ex situ entre 1951 hasta 2019) y espacio (coberturas vegetales en finca Mirador-recreo y tres estaciones climatológicas de CENICAFE); de esta manera se evaluó la frecuencia de temperaturas por encima de los 20°C y la humedad relativa por debajo de los 70%. Para la humedad relativa, registros históricos en el área indicaron que es siempre mayor a 70% (Javellas & Thouret, 1995; Roa-García & Brown, 2016; Restrepo et al., 2019). Por lo tanto, se infiere que registros inferiores al 70% sean indicativos de anomalías en las condiciones climáticas del área. De forma similar, el registro histórico revela que temperaturas cercanas 20°C han sido comunes en el área (Sturm et al., 1970; Sturm & Abouchaar, 1981; Rangel & Espejo, 1989; Javellas & Thouret, 1995; Lagoueyte & Jaramillo, 2012; Roa-Garcia & Brown, 2016; Restrepo et al., 2019).


De acuerdo a lo anterior, nuestra pregunta de Investigación: ¿Cómo varían los datos climatológicos (temperaturas y humedad relativa) que evidencien incertidumbre de una zona de montaña neotropical en los andes centrales de Colombia, durante el periodo 2014-2021?. Mientras la hipótesis del trabajo es: Las temperaturas y la humedad relativa de una zona de montaña neotropical en los andes centrales de Colombia han cambiado durante el periodo 2014-2021.


RESULTADOS


Se evaluaron los patrones espaciales y temporales de las condiciones climáticas (a través de las temperaturas y humedad relativa). En general, los estadísticos de los datos climáticos obtenidos en el área de estudio (Tabla 1) indicaron diferencias térmicas y en la humedad relativa a partir del estado de conservación biológica. En los párrafos siguientes, se presentaron: primero una descripción de los patrones de clima entre los dos tipos de coberturas vegetales. Segundo, se evaluaron los cambios temporales en el clima durante el periodo de muestreo para cada variable climática. Por último, se hizo un recuento sobre las variaciones observadas y se compararon las condiciones climáticas in- y ex-situ.


Tabla 1. Estadísticos correspondiente a variables climáticas registrados en la Finca Mirador-Recreo, 2014, 2018-2021.

T°M DS

T°M FS

T°Min DS

T°Min FS

T°Max DS

T°Max FS

T°Suelo DS

T°Suelo FS

% H DS

% H FS

N

1327

1327

1327

1327

1327

1327

1327

1236

1327

1327

Min

11

12

10

11

13

11

11

10

28

18

Max

29,4

42,1

25

37

28

42.6

25

29

100

99

Promedio

18

20

16

16,8

19,8

23

16,8

18,4

75,5

71,4

Varianza

5,04

15,3

4,4

8,7

6,3

43,5

4,9

6,1

149

171,8

Coeficiente de Varianza (CV)

12,4

19,5

13,1

17,5

12,6

28,6

13,2

13,4

16,1

18,3

Desviación estándar

2.2

3.9

2.1

2.9

2.5

6.6

2.2

2.6

12.2

13.1


T°M: Temperatura media del aire; T°Min: Temperatura Mínima; T°Max: Temperatura máxima, %H: Porcentaje de humedad relativa; DS: área bosque secundario; FS: lote en restauración, N: número de datos. Coeficiente de varianza (CV): es la variación total de las variables correspondientes. Las temperaturas, y la desviación estándar dadas en grados centígrados (°C), humedad relativa y el coeficiente de varianza en valores porcentuales (%); varianza en unidades al cuadrado.


Temperatura del aire:
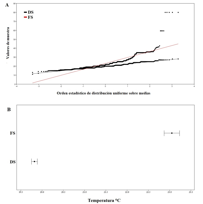
se hallaron diferencias en los rangos de temperatura del aire dentro del bosque secundario y en lote en restauración (registros mínimo y máximo de temperatura del aire, respectivamente), así bosque secundario (11,0-29,4°C) y lote en restauración (12.0-42.1°C). En efecto, se encontró que la temperatura del aire en el lote en restauración presento tres veces más variación a la registrada dentro del bosque secundario (desviación estándar=2,2°C dentro del bosque secundarios vs. 3,9°C, en lote en restauración; véase en Tabla 1 la desviación estándar correspondiente).

Además, la temperatura del aire en el bosque secundario es por lo tanto en promedio 2°C más baja que la temperatura fuera de éste (promedio temperatura en bosque secundario 18°C vs. lote en restauración media 20,0 °C respectivamente, Figuras 1-2); de esta forma se reportó a partir de la prueba de normalidad Shapiro Wilks, P=5,266x10-12, P=1,24x10-26 y Mann Whitney, U=6,062x10-05, P=3,2141x10-43, que la temperatura del aire presentó menor variación dentro del bosque secundario con respecto a la temperatura en el lote en restauración.


Se examinaron también los patrones de temperaturas entre las dos coberturas vegetales a través de un análisis de componentes principales (ACP, Figura 3A). El ACP se planteó desde una matriz construida por datos de temperatura del aire planteados en filas y categorizados de manera mensual-multianual (es decir se integran ambos caracteres temporales: meses del año, desde enero a diciembre y para los años muestreados 2014-2021 por meses y años que corresponden a la variable indicada en las columnas, en este caso la temperatura del aire; así cuando los datos son en series en el tiempo, usualmente están auto correlacionados, es decir los registros de hoy dependen de los de un momento anterior; por lo cual en ese manejo con series no hay que hacer ninguna o no se requiere transformación en el ACP (García M. D. comunicación personal). En este sentido, las cargas positivas y negativas fueron calculadas por el ACP y se indican en la Figura 3B, valor de las cargas de los coeficientes para los componentes 1 y 2, derivados del Análisis de Componentes Principales (ACP). Así, el ACP realizado sobre la temperatura del aíre explicó el 87 y 38% de variación presentada entre ambas coberturas (bosque secundario y lote en restauración) a través de los dos primeros componentes. El primer componente de la temperatura del aire está relacionado a cargas positivas dadas para todos los años. El segundo componente está conexo por las cargas negativas de la temperatura del aire registrada en 2018 en el lote en restauración (Figura 3B). El 2018 fue el año con los registros más altos de temperatura del aire durante el período del estudio, mientras las temperaturas bajas en 2014 fueron exploradas dentro del bosque secundario (Tabla 2; Figura 3B). A partir de los valores obtenidos de las cargas de los coeficientes para los componentes 1 y 2, derivados del Análisis de Componentes Principales (ACP), se concluye que los mayores cambios se dan en el año 2018 y en lote en restauración (Figura 3B).


Tabla 2. La temperatura media del aire en las estaciones (La Bella, Paragüacito y Maracay) del Centro Nacional de Investigaciones del Café CENICAFE y observadas en este trabajo.

Temperatura Media

RDS °C

RFS °C

La Bella °C

Paragüacito °C

Maracay °C

2014

16,9

17,8

20,9

28,3

21,1

2018

18,2

22,8

20,8

22,1

20,7

2019

18,0

19,4

21,3

22,4

21,1

2020

18,8

19,4

2021

18,3

18,9


RDS: Registros área bosque secundario; RFS: registros en lote en restauración; °C: Grados centígrados. Espacios en blanco se explica porque no hay reporte de datos en CENICAFE.


Además, se utilizó un Análisis de Componentes Principales (ACP), de la temperatura del aire y con las temperaturas mínimas y máximas en ambas coberturas (Figura 4), lo cual indicó, a través de los dos primeros componentes, que el 88,86% de la varianza de las temperaturas del aire, mínima y máxima, se relacionan con las coberturas vegetales al comparar con bosque secundario y lote en restauración, así en esta cobertura se alcanzaron los mayores registros para las tres temperaturas acá estudiadas, en este sentido esta variación es congruente a cargas negativas dadas por la temperatura mínima y máxima de ambas coberturas asociadas a los registros del año 2018, mientras el segundo componente está relacionado por las cargas negativas de la temperatura aire dentro del bosque secundario relacionados a los años 2020 y 2021, lo contrario se observó en el año 2014, donde se asocia la mayor temperatura mínima y máxima aún en el bosque ripario (Figura 4, Tabla 3).


Tabla 3.
Valor correspondiente a cada Componente Principal (PC 1, 2, 3 y 4) relacionado con el análisis sobre las temperaturas en ambas coberturas, dentro y fuera del bosque.

A.

PC

AUTOVALOR

%Varianza

1

4,24572

58,162

2

2,13284

29,218

3

0,896039

12,275

4

0,0175539

0,24074

5

0,00768125

0,10522

B.

PC

AUTOVALOR

%Varianza

1

2,98826

97,387

2

0,0944022

3,0518

3

0,008993

0,29072

4

0,00167725

0,054221

C.

PC

AUTOVALOR

%Varianza

1

2,18886

69,195

2

0,928736

29,359

3

0,0457323

1,4457

4

2,5210E-10

7,9695E09

D.

PC

AUTOVALOR

%Varianza

1

8,72745

85,779

2

1,21375

11,929

3

0,229654

2,2572

4

0,003485

0,034253


El autovalor indica el nivel de impacto del componente principal en la varianza de los datos que se están analizando. %Varianza: porcentaje de variación de los datos analizados explicado por cada componente: A. En las temperaturas media del aire entre ambas coberturas. B. En la temperatura mínima. C. En la temperatura máxima. D. En la temperatura media del aire, e incluye otras estaciones.


En lote en restauración, además de registrar fluctuaciones mayores en temperatura del aire durante todo el periodo de muestreo, también se encontraron cambios altos en esta variable durante el día (6:00-18hr.). De esta manera, durante las 12 horas muestreadas en éste estudio (6:00-18hr.), se observó que los cambios de la temperatura del aire, entre el bosque secundario y lote en restauración y antes de las 12:00 hr., oscilo entre 11 y 22o C, después del mediodía, se incrementó entre 12 y 29.4o C. Asimismo, los registros más bajos de la temperatura del aire (11-12o C) se notaron dentro del bosque secundario entre las 6:30 hr y las 9:00 hr; mientras el dato más alto (24o C) fue a las 14:30hr. En el lote en restauración el dato mínimo (11o C) se observó entre las 7:00 y 8:00 hr, y el más alto (42o C) entre las 12:30 hr. a 15:00 hr. Es decir, en bosque secundario y lote en restauración, los registros bajos de la temperatura del aire se notaron al inicio del día y los altos después de mediodía (Figura 5).


En 24 horas de observaciones sobre la temperatura media del aire (Figura 6) se pudo evidenciar un aumento de 0.83°C dentro del bosque secundario y de 0.94°C fuera en el lote en restauración. Dentro del bosque secundario se observaron cambios evidentes entre 10:00hr-18:00hr y fluctuaron durante la noche (19:00hr-05:00hr). Mientras en la cobertura fuera del bosque fue más evidente el cambio durante el día (6:00hr a 18:00hr), en la noche y al inicio del día (19:00hr-06:00hr).


Por otra parte, en las observaciones anuales (Tabla 2), se obtuvo, para la cobertura: dentro del bosque un aumento de 0,09°C y fuera en lote en restauración de 0,08°C. Sin embargo, en el test de Mann Kendall se aceptó la hipótesis nula dentro del bosque (P=0,5) y por lo tanto no hubo tendencias significativas. Mientras fuera en el lote en restauración se rechazó la hipótesis nula de tendencias (P= 0,03) y de acuerdo al signo de la pendiente (SenSlope= -0,09) se estimó que la temperatura media del aire fuera en el lote en restauración disminuye (Figura 7).


En cuanto a la variabilidad interanual de la temperatura media del aire, se rechazó la hipótesis nula del test de Fligner Killen de homogeneidad de varianzas interanual en ambas coberturas; por lo tanto, si hubo diferencias significativas (P=5,237-05, P= < 2,2-16) a nivel interanual en ambas coberturas. De acuerdo a lo observado (Tabla 2 y Figura 8) el año 2018 fue el de mayor variación en ambas zonas, siendo más alta fuera en lote en restauración.


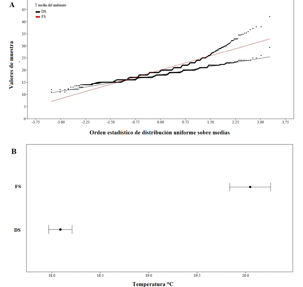
Además, en registros correspondientes al 2004 en los alrededores de la quebrada Los Ramírez, en Quinchía, Risaralda, se obtuvo que la temperatura media del aire (Figura 9) fue mayor en la cobertura fuera del bosque; mientras dentro del bosque se obtuvo un promedio de 18,15°C y fuera en el lote en restauración de 19,81°C. La desviación estándar fue 3,09°C dentro del bosque y 3,17°C fuera en lote en restauración, lo cual significa que fuera en lote en restauración hay mayor variación de la temperatura aire al comparar con lo observado dentro del bosque secundario. También se observaron en ambas coberturas valores bajos y relativamente estables en la noche (19:00hr - 6:00hr) al comparar con las horas del día (7:00hr - 15:00hr).


La temperatura media del aire entre hábitats del campus de la Universidad del Quindio tuvo diferencias estadísticas significativas en la media y en los rangos, de la siguiente manera: dentro del bosque 20,22-23,93°C (media 22,1°C) y fuera del bosque 22,86-32,7°C (media 26,1°C). Esto se corroboró con las pruebas de Mann Whitney (P-valor= 0,001) y de homogeneidad de varianzas (P-valor= 0,01), se indicó que la media fue mayor 4°C significativamente fuera del bosque al comparar con la obtenida dentro del bosque. De igual manera, la varianza de la temperatura fuera del bosque fue mayor en 2°C. Además, en los registros anuales esta variable tiende a disminuir 0,001°C dentro del bosque y 0,08°C fuera del bosque, es decir, diferente o más bajo dentro vs. afuera del bosque. De igual manera, la tendencia fue a disminuir significativamente para ambos entornos, según los resultados de la prueba Mann Kendall (P=0,04 y 0,01).


En el análisis anual, se encontró que el 2012 registró la temperatura media del aire más alta (27,6°C) a las 12:00hr y 13: 00hr dentro del bosque, y fuera del bosque (42°C) del mismo año a las 13:00hrs. En el 2012 también se tuvo el registro de temperatura del aire más bajo (17°C) dentro del bosque a las 7:00hrs y en el 2018 fuera del bosque (17,6°C) a las 15:00hr. Además, durante las horas del día, se evidenció que las temperaturas más altas ocurrieron entre las 11:00hrs y 17:00hrs dentro del bosque y entre las 10:00hrs y 16:00hrs fuera del bosque, mientras que las más bajas se mostraron entre 7:00hrs a 10:00hrs y las 19:00hrs para ambas zonas.


Temperaturas mínima y máxima: La temperatura mínima en ambas coberturas, dentro del bosque secundario y en lote en restauración, no presentó mayores diferencias en el rango y la media registrada 10,0-25,0°C (media 16,0°C) vs.11, 0-37,0°C (media 16,8°C) respectivamente, sin embargo, se encontró en el lote en restauración mayor varianza 4,4 vs. 8,7% bosque secundario (Tabla 1 y Figura 10-11); además la temperatura máxima si presentó diferencias en ambas coberturas, con distinciones en el rango y las medias: 13,0-28,0°C (media 19,8°C) vs.14,0-42.6°C (media 23,1°C) respectivamente; también se expone mayor varianza en el lote en restauración 43,5 vs. 6,3% en bosque secundario e igualmente su desviación estándar (Tabla 1 y Figura 12 y 13).


Al comparar los datos de las temperaturas mínima y máxima, entre el bosque secundario y el lote en restauración, según la prueba Shapiro Wilk, no siguen una distribución normal, así para la temperatura mínima (P=4,45x10-17 y P=3,161x10-30, respectivamente, Figuras10 y 11) y temperatura máxima (P=9,908x10-15 y P=1,952x10-40, respectivamente, Figuras 12 y 13). La temperatura máxima difiere en ambas coberturas como resultado de la restauración por sucesión, así: la temperatura máxima es menor en el bosque secundario con media de 19,8°C vs. 23,1°C en el lote en restauración, con rango de datos originales en el bosque secundario (13,0-28,0°C) y rango de datos promediados en el bosque secundario (17,5-22,8°C) vs. rango de datos originales de temperatura máxima en lote en restauración (14,0-42.6°C) y rango de datos promediados mensualmente (18,7-32,0°C). Además, la temperatura máxima dentro del bosque secundario presentó una desviación estándar de 2,7°C y coeficiente de variación de 13%. Mientras fuera en lote en restauración se obtuvo una desviación estándar de 4,38°C y coeficiente de variación de 19%. En este sentido, a partir de la prueba Mann Whitney, se rechazó la hipótesis nula sobre la igualdad en medias de la temperatura máxima entre bosque secundario y lote en restauración (U=5,7175x1005, P=2,3625x10-54). En estas condiciones, la temperatura máxima es más baja y estable dentro del bosque secundario al comparar con lo registrado en el lote en restauración (Figura 13).


Se identificó que la temperatura mínima presentó una media estadística menor en el bosque secundario con media de 16,0°C, rango de datos originales (10,0-25,0°C), rango de datos promediados mensualmente (13,1-19,1°C) vs. temperatura mínima del lote en restauración con media de 16,9°C, rango de datos originales (11,0-37,0°C), rango de datos promediados mensualmente (14,0-21,6°C). A partir de la prueba Mann Whitney, se rechazó la hipótesis nula sobre la igualdad en medias de la temperatura mínima entre bosque secundario y lote en restauración (U=7,5688x1005, P=9,6324x10-10), por efecto del restablecimiento vegetal sobre la temperatura mínima del ambiente.


Se observó que la temperatura mínima, al efectuar un análisis mensual multianual, dentro del bosque secundario oscilo entre 10o C en agosto de 2019 y 25o C en abril y julio de 2019 con promedio de 16o C, mientras en lote en restauración fluctúo en 11o C en diciembre de 2020 y máxima 37o C en agosto de 2019 con un media de 16.9o C, es decir, a mediados del año (agosto) el dato mínimo se observó dentro del bosque secundario y el registro máximo lo fue en el lote en restauración (Figura 14). La observación más baja de la temperatura mínima lo fue dentro del bosque secundario y el más alto, en lote en restauración, lo es en agosto (Figura 13).


Además de lo anotado en el párrafo inmediatamente anterior, tenemos que la temperatura mínima durante el día se observó que dentro del bosque secundario osciló entre 10o C en la mañana a las 10:30 hr y alta 25o C se obtuvo en hora de la tarde a 13:00 hr; en el lote en restauración la cifra fue baja (11.0o C) y se observó en la tarde entre las 18:00hr a las 19:30 hr; mientras el registro alto (37o C) de la temperatura mínima se anotó en la mañana 8:30 hr. La relevancia de estas observaciones radica en que las variaciones más extremas se notaron en el lote en restauración (entre 1,6 veces en los meses del periodo observado y 1,7 veces durante el día).


En la distribución de la temperatura mínima en el intervalo de 12 horas (Figura 15) se observó que disminuyó 0,5°C dentro del bosque secundario y 0,4°C fuera en lote en restauración y para el periodo anual de las observaciones (2014-2021) se observaron los mayores registros de temperatura mínima en el año 2014 a las 14:00-16:00hr dentro del bosque y fuera en lote en restauración; también se notó que en ambas coberturas la tendencia fue a aumentar, siendo máxima en horas de la tarde (12:00-16:00hr) (Figura 15). Para la temperatura mínima no se observó tendencia a incrementar o disminuir de alguna manera estándar dentro del bosque secundario. Además, sobre la temperatura mínima durante las 24 horas (Figura 16), los registros más altos se observaron en horas de la tarde desde medio día (12:00hr-18:00 hr) y al inicio de la mañana (6:00-7:00 hr) dentro del bosque y fuera en lote en restauración lo fue además entre la noche (21:00 hr-2:00 hr); los registros más bajos lo fueron alrededor de la media noche dentro del bosque; mientras fuera en lote en restauración lo fue al inicio de la noche (18:00 hr-20:00 hr) (Figura. 16 A y B) .


Además de lo anterior, la temperatura mínima registrada en los alrededores de la quebrada Los Ramírez en Quinchía, Risaralda, en la cobertura fuera del bosque se obtuvo un promedio de 19,68°C y desviación estándar de 3,81°C. Los registros máximos se dieron en horas de la tarde (13:00-15:00 hr) y en horas de la mañana (entre las 9:00-12 hr); mientras los datos más bajos se notaron en horas de la noche y en las primeras horas del nuevo día (entre las 23:00hr a las 8:00 hr.).


Con relación a la temperatura máxima, en la reserva Mirador-Recreo, durante el día dentro del bosque secundario, se obtuvo un registro bajo (13o C) a las 12 hr y alto (28o C) entre las 15:30 hr y las 18:00 hr; ésta misma variable en el lote en restauración, se obtuvieron observaciones extremas de 14o C en horas de la mañana entre las 6:00 hr y las 7:30 hr; y 42.6o C en horas de la tarde entre las 15:30-16:30 hr. Los datos bajos en la temperatura máxima se obtuvieron en lote en restauración; lo cual fue distinto para la temperatura mínima, en la cual se nota que los registros fluctuaron menos dentro del bosque secundario. Contrario a lo anotado para la temperatura máxima, con mayor varianza e inestabilidad en lote en restauración (Figura 14, Tabla 1); la conclusión de estas observaciones radica en que las variaciones más extremas (4,6 veces durante el día) fueron en lote en restauración.


La temperatura máxima no presentó una distribución normal, así la prueba de Mann Whitney rechaza la hipótesis de igualdad de esta variable (U=5,7175x10-05, P=2,3625x10-54). En este sentido, la temperatura máxima dentro del bosque secundario oscilo entre 13o C en diciembre de 2020 y 28oC en julio y diciembre de 2020, mientras en lote en restauración se observó que el dato mínimo (14,0oC) está en diciembre de 2019 y el máximo (42.6oC) en abril de 2019 (Figuras 12 y 13). Sin embargo, durante los meses en el periodo muestreo para la temperatura máxima se observó que son bajos los registros en lote en restauración, al comparar con los obtenidos dentro del bosque secundario (Figura 17).


En la dispersión de la temperatura máxima (Figura 18) durante 12 horas de observación fuera del bosque presentó valores más altos entre las 14:00hr y 17:00hr. También se observó tendencia a disminuir anualmente en promedio 0,5°C dentro del bosque y 0,26°C fuera del bosque. En registros de 24 horas de la temperatura máxima (Figura 19) fuera en lote en restauración se observaron registros bajos durante la noche (19:00hr-05:00hr) en ambas coberturas. Además, la temperatura máxima dentro del bosque disminuyó 0,02°C, mientras que para fuera den lote en restauración se incrementó 0.8°C (Tabla 4).


La temperatura máxima, dentro del campus, Universidad del Quindio,Armenia, Colombia, presentó diferencias significativas entre las medias de ambos hábitats (dentro y fuera del bosque) en concordancia con la prueba T-student (P-valor= 0,004), siendo significativamente mayor en 6°C en la zona fuera del bosque. Por otro lado, con respecto a las observaciones durante 12 horas, la temperatura máxima mostró que los picos de temperatura máxima dentro del bosque se fijaron entre las 8:00hrs y 19:00hrs y entre las 9:00hrs a 16:00hrs para fuera del bosque .


Además de lo anterior, también se notó que durante los años de observaciones hubo una disminución de 0,43°C en la temperatura máxima dentro del bosque, como fue confirmado con la prueba de tendencias de Mann Kendall (P= 0,02); mientras que fuera del bosque se evalúo un aumento de 0.014°C; sin embargo y de acuerdo con la prueba de Mann Kendall (P= 0,53) esta tendencia no fue significativa.


Para ambas coberturas (dentro y fuera del bosque) el 2012 registró el dato más alto de temperatura máxima (Dentro del bosque: 27,7°C a las 12:00hrs y Fuera del bosque: 39,3°C a las 10:00hrs). El registró dentro del bosque más bajo de temperatura máxima se alcanzó en el 2018 a las 11:00hrs (18,8°C), mientras que para fuera del bosque ocurrió en el 2012 a las 8:00hrs (19,5°C).


Para la temperatura mínima entre ambos hábitats no se observaron diferencias significativas en la media y en los rangos como lo expresó las pruebas T-student (P=0,06) y Bartlett (0,4), siendo los rangos 19,25-21,9°C (media 22,1°C) vs 19,67-24,03°C (media 22,65°C). También se observó, durante el día en ambas coberturas, registros bajos en temperatura mínima en las primeras horas de observación (entre las 7:00hrs a 12:00hrs), y aumento aproximadamente desde las 12:00hrs hasta las 17:00hrs. Así mismo la temperatura mínima en el bosque secundario alcanzó el registro más bajo en el 2018 (17,1°C a las 11:00hrs), mientras que el más alto fue en el 2013 y 2016 a las 15:00hrs (26,1°C). Para fuera del bosque el 2018 registró la temperatura más baja (16,7°C) a las 11:00hrs y también la más alta (29°C) pero a las 16:00hrs.


Tabla 4. Promedios de la Temperatura Máxima (To MAX) en las estaciones (La Bella, Paragüacito y Maracay) del Centro Nacional de Investigaciones del Café CENICAFE y observadas en este trabajo.

T° Max

RDS °C

RFS °C

La Bella °C

Paragüacito °C

Maracay °C

2014

21,4

21,1

26,3

28,3

27,1

2018

19,4

23,2

25,9

28

27

2019

19,9

23,3

26,4

28,4

27,1

2020

19,8

21,7

2021

18,8

19,8


RDS: Registros área bosque secundario; RFS: registros en lote en restauración. Estaciones; °C: Grados centígrados. Espacios en blanco se explica porque no hay reporte de datos.


Temperatura del suelo
: No presento distribución normal en ambas coberturas vegetales (bosque secundario y lote en restauración), así se evaluó la variación entre ambas zonas a través de la prueba Mann Whitney y presentaron diferencias significativas (U: 5,8967x1005; P: 1,4983x10-48) con una varianza de 4,9 (vs.6,7%) entre las dos coberturas vegetales de observación (Tabla 1), así el bosque secundario presentó menor valor de forma progresiva hasta el año 2020, al comparar con lo observado en el lote en restauración; mientras se encontró, que en esta cobertura, la temperatura del suelo fue mayor en octubre de 2014 (16-19o C) al comparar con lo obtenido en enero de 2021 (11-16 oC). Sin embargo, se encontró diferencias no significativas al aplicar el Análisis de Componentes Principales (ACP) a los datos de la temperatura del suelo en el contexto espacial (dentro del bosque secundario y en lote en restauración) y temporal (días, meses y años).


Sobre la temperatura del suelo, en el contexto mensual-multianual, se observó que en junio dentro del bosque secundario y en lote en restauración, se encontraron tanto el registro mínimo como el máximo; el dato máximo en el bosque secundario se obtuvo entre enero y octubre, excepto junio; mientras en lote en restauración se observó en noviembre, diciembre y junio. Se percibió que durante el primer semestre (enero a junio) en 2019 y 2020 se observaron registros por debajo de los 20o C, excepto febrero del 2019 y abril de 2020; durante el segundo semestre (julio a diciembre) en el 2018 y 2019 se notaron registros alrededor de los 20o C y en el 2020 alrededor de los 15o C excepto diciembre (Tabla 1). Es decir, no hay variación estándar o fluctuaciones marcadas de la temperatura del suelo durante el periodo del estudiado.


La temperatura del suelo dentro del bosque secundario precisó un promedio de 16,1°C, una desviación estándar de 1,94°C y un coeficiente de variación de 12%. Mientras fuera del bosque la temperatura del suelo tuvo un promedio de 17,8°C, una desviación estándar de 2,77°C y un coeficiente de variación de 15%. Por lo tanto, la cobertura fuera del bosque exhibió la temperatura del suelo más alta y mayor fluctuación. En el intervalo de 12 horas en la cobertura lote en restauración, aumentó la temperatura del suelo (entre las 17:00hr-18:00 hr), por lo cual, se expresó mayor variabilidad en esta cobertura; dentro del bosque secundario no se observó variación en este aspecto, es decir se nota relativa estabilidad. Además, al comparar la variación de la temperatura del suelo en los años de observación (2014-2021) se identificó disminución de 0,2°C para las temperatura dentro del bosque y de 0,7°C fuera en lote en restauración (Tabla 1, Figura 20).


En el intervalo de 24 horas, la temperatura del suelo dentro del bosque (Figura 21), se observó que disminuyó 0,62°C al comparar con los años de observación (2014-2021), mientras fuera en el lote en restauración aumentó en promedio 1,3°C. Mientras los registros más bajos se obtuvieron dentro del bosque (Figuras 21 y 22). De acuerdo al test de Mann Kendall, se rechazó la hipótesis nula en ambas coberturas (P=6,13-14, SenSlope=-0,138; P=0,015, SenSlope= 0,11); y por lo tanto se estimó que la temperatura del suelo tendió a disminuir significativamente.


En temperatura del suelo, en el campus, Universidad del Quindio, Armenia, Colombia, se encontraron diferencias significativas entre los sitios de observación como se evidenció con la prueba de Mann-Wilcoxon (P=0,01) para los rangos 18,74-22,96°C (media 21,06°C) vs 21,8-25,5°C (media 23,5°C). De esta manera, la temperatura del suelo fue menor 1,9°C en dentro del bosque secundario con media 21,06°C dentro del bosque vs. 23,5°C fuera del bosque. Sin embargo, la varianza no arrojó diferencias significativas entre ambos hábitats en concordancia con la prueba de Fligner-Killen (P=0,4). Además, en los registros, por horas, sobre la temperatura del suelo, el dato más alto se observó entre las últimas horas de la mañana y en la tarde (10:00hrs - 17:00hrs) dentro del bosque y fuera del bosque (9:00hrs - 16:00hrs) y los más bajos se mostraron predominantemente en horas de la mañana y las primeras de la tarde (8:00-13:00hrs dentro del bosque y 8:00 a 14:00hrs fuera del bosque).


En 2013 y 2016 se registró la temperatura del suelo más alta (26,2°C) dentro de bosque secundario y a las 15:00hrs; para fuera del bosque se alcanzó la mayor temperatura del suelo registrada en el 2011 (30°C) y a las 13:00hrs. Mientras que las observaciones más bajas de la temperatura del suelo lo fueron en el 2018 (16,5°C), a las 11:00hrs-12:00hrs en dentro del bosque secundario; se observó el registro más alto (19,1°C) fuera del bosque en el 2011 y a las 14:00hrs. Además, se encontró aumento anual de 0,04°C dentro del bosque secundario y de 0.08°C fuera del bosque, sin embargo, estas tendencias no fueron significativas para ambas coberturas como lo expresó la prueba de tendencias de Mann Kendall (SenSlope= 0.39, P-valor=0,8).


Humedad relativa:
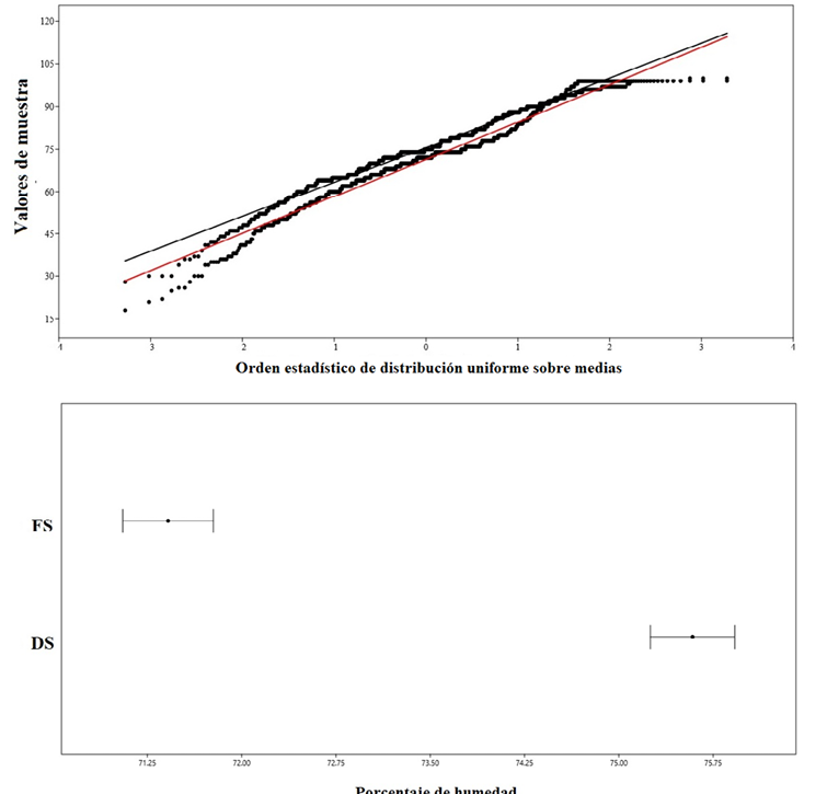
Dentro del bosque secundario y en lote en restauración la humedad relativa no siguió una distribución normal, según la prueba Shapiro Wilk, (P=1,404x10-12 y P=3,363x10-15, respectivamente, Figura 23). Se identificó que la humedad relativa es mayor en el lote en restauración, con una media de 75,6%, rango de datos primarios (28-100%) y rango de datos promedios mensualmente (61,5-92,2%) vs. humedad relativa del bosque secundario con media de 71,4%, rango de datos primarios (18-99%), y de datos promediados mensualmente (54,1-95,7%, Figura 24). Así, a partir de la prueba Mann Whitney, se rechazó la hipótesis nula sobre la igualdad en medias de la humedad relativa entre ambas coberturas, como efecto de la restauración vegetal (U=7,0368x1005, P=1,4506x10-18).


En 12 horas de observaciones en la humedad relativa (Figura 25), la tendencia fue a decrecer 2% al comparar entre los años muestreados (2014-2021) dentro del bosque y 1,4% fuera en lote en restauración; de igual manera se observó que disminuye la humedad relativa entre las 6:00hr y 18:00hr, excepto en el año 2018, en el cual se notó un incremento de la humedad relativa a partir de las 15 hr. en ambas coberturas En 24 horas de observaciones (Figura 26), se obtuvo al comparar los años de observación (2019-2021) una diminución del 4,7% dentro del bosque y del 1,5% se obtuvo una reducción fuera en el lote en restauración. Además, en las horas de la noche (18:00hr-6:00hr) aumentó la humedad relativa. Sin embargo, a las 14 hr. se notó un descenso abrupto de la humedad relativa en ambas coberturas, por lo cual se observaron algunos datos más bajos para la cobertura lote en restauración (40%) en comparación con dentro del bosque secundario (48,5%), en esta cobertura se obtuvo en el 2020 mayor variación de la humedad relativa. Por lo tanto, se comprendió que la humedad relativa disminuyó en el día (6:00hr-18:00hr) (Figura 25) y aumentó en las horas de la noche (18:00hr-5:00hr) (Figura 26). Además, se encontró que la humedad relativa disminuyó 0,2% dentro del bosque y 1,6% fuera en el lote en restauración.


Por otro lado, la humedad relativa en la quebrada Los Ramírez en Quinchía, Risaralda tuvo un promedio de 84.5% y una desviación estándar de 8.5 % (Figura 27). Se observó que la mayor humedad relativa se registró en las horas de la noche y en las primeras horas del día (18:00hr-8:00hr), mientras disminuyó en horas del día (9:00hr-17:00hr). Al comparar la humedad relativa de la cobertura dentro del bosque de la quebrada Los Ramírez en Risaralda y de la reserva El Mirador-Recreo, se encontró que la diferencia es del 10%, menor en la reserva El Mirador-Recreo.


Para la humedad relativa, en el campus de la Universidad del Quindio, Armenia, Colombia, entre los sitios de muestreo, no se encontraron diferencias estadísticas significativas segun la prueba de Mann-Wilcoxon (P=0,14) y los rangos 76,7-56,5% (media 63,4%) vs 72,5-45,1% (media 56,43%). De acuerdo a lo anterior, los estadísticos indicaron menor humedad relativa (7%) y mayor incertidumbre en la zona de fuera del bosque (3,44%). Sin embargo, estas diferencias no fueron significativas. Además, se evidenciaron que la humedad relativa fue mayor en las primeras horas del día (7:00-9:00hr) y de la noche o al final del día (17:00-19:00hrs), mientras ésta variable tiende a disminuir entre las 12:00hrs y las 15:00hrs.


Para la humedad relativa el mayor registro ocurrió en ambos sitios en el 2011 con un 83,3% dentro del bosque y 86,6% fuera del bosque. Los porcentajes más bajos de humedad relativa se registraron en el 2018 para dentro del bosque (34%) y fuera del bosque (26%). Además, la humedad relativa en ambos hábitats disminuyó anualmente 1,6% dentro del bosque secundario y 3,54% fuera de este (Figura 6). Sin embargo, el test de tendencias indicó que estás no fueron significativas según el resultado del P valor (0,2 y 0,4); y de acuerdo al signo de la pendiente (SenSlope= -0.84 y 0,82).


Análisis reflexivo de patrones de cambio climático entre
áreas de coberturas vegetales in-situ.


En el área del estudio es por lo tanto evidente los efectos benéficos de la restauración vegetal al comparar con el impacto antrópico predominante en una zona deforestada. Es también importante resaltar que la zona de restauración ha pasado por un proceso de regeneración durante siete años. Por lo tanto, las observaciones realizadas durante los últimos cuatro años indicaron un cambio favorable en el restablecimiento térmico a lo esperado en zona alto andina. Sin embargo, los patrones de humedad relativa indicaron menores diferencias en capacidad de restauración. Siendo aún menor a 80% la humedad relativa que se alcanzó en bosques naturales, así aunque existieron diferencias entre ambas coberturas (dentro del bosque secundario y en lote en restauración), estas no fueron mayores respecto a la humedad relativa (Figura 23). Lo anterior indicó que, respecto a los patrones espaciales de temperatura, la restauración con evidencia dada por la humedad relativa puede ser más compleja dentro de la red biológica.


Mientras en el análisis mensual multianual se observó alta humedad relativa dentro del bosque secundario, excepto diciembre y junio del año 2020, que lo es en lote en restauración; los registros bajos se observaron entre julio-agosto, los más altos entre noviembre a febrero, abril y mayo; además se notaron que en el primer semestre (enero a junio) en el 2019 los registros estuvieron por encima del 70%, mayor que en 2020 (en este año fueron por debajo del 70%); durante el segundo semestre (julio a diciembre de 2018) se apreciaron registros alrededor del 80% excepto septiembre, en el 2020 alrededor del 70% y en 2019 por debajo del 70%, excepto julio (Figuras 23 y 24).


Se indicó, de humedad relativa, que durante las 12 horas del día y dentro del bosque secundario el dato mínimo (28%) se leyó a las 14:45 hr, mientras la observación máxima (99-100%) se dio entre las 10:15 a 11.00 hr; en lote en restauración el registro mínimo (18%) se obtuvo a las 14:30 hr y el máximo (99%) entre las 14:30-15:00 hr y entre las 18:00 y 19 00 hr. No se observó correlación estrecha entre humedad relativa y temperaturas en ambas coberturas vegetales (Tabla 1).


Patrones de las condiciones climáticas basadas en datos ex - situ


En este sentido se observó (Tabla 2) la proyección de promedios anuales de temperatura media del aire en tres estaciones climatológicas de Cenicafe (La Bella, Paragüacito y Maracay), se notó igual tendencia, aunque con mayor intensidad (Figuras 28 y 29); dado que en las estaciones mencionadas, la temperatura del aire varío durante estos años (Tabla 3, Figura 28), pues carecen del filtro vegetal de la flora nativa y si predominan cultivos agrícolas o pastoreo. Además, el Análisis de Componentes Principales (ACP) explicó el 97,6% de variación entre estos casos (Figura 29), donde el cuadrante de menor valor de temperatura (cuadrante inferior izquierdo), corresponde al bosque secundario en la finca El Mirador-Recreo, pues la estación climatológica de Paragüacito a pesar de encontrarse también sobre la cordillera Central (1203 msnm), registró valores (22,1°C vs. 22,8°C) aún por encima de los reportados para el lote en restauración en la finca El Mirador-Recreo para el 2018 (Tabla 4). La temperatura del suelo no se proyectó a estaciones de CENICAFE acá evaluadas, aunque si están disponibles para otras estaciones climatológicas de la region.


DISCUSIÓN


El área de bosque secundario conservó alta humedad y baja temperatura, en un sistema térmico que provee estabilidad para la conservación de la vida asociada a estos ecosistemas de montaña andina. En general, sobre las observaciones obtenidas se encontró relativa estabilidad según indicaron sus registros, es decir, se demostró la permanencia en los datos asociados a la vegetación nativa, como agentes reguladores del sistema hídrico relacionado a la humedad relativa y las temperaturas. Además, las diferencias obtenidas en las temperaturas entre ambas coberturas vegetales aquí analizadas (bosque secundario y lote en restauración), es decir, las temperaturas del aire, máximas, mínimas y del suelo fueron más altas en el lote en restauración al comparar con el bosque, lo cual corresponden a las variaciones en composición y estructura florística. Por lo cual en el bosque secundario predominaron las especies arbóreas y herbáceas, para un total de 35 especies; mientras en el lote en restauración se determinaron 34 especies de hierbas (Román-Valencia et al. sometido agosto de 2022).


Es evidente el impacto de la fragmentación del ecosistema de bosque en ecosistemas de montaña andina y en particular en el área del estudio; toda vez que en el lote en restauración, se observaron las mayores fluctuaciones de las variables acá analizadas, y baja riqueza florística representada por hierbas (Román-Valencia et al. sometido agosto de 2022) ; en el caso de la temperatura del aire así las más altas y contrario con la humedad relativa que fueron fluctuantes con tendencia a ser mucho menor fuera en lote en restauración que dentro en el bosque secundario. En estas condiciones anotadas, es comprensible que estamos en una de las regiones de Colombia donde se ha demostrado la mayor deforestación (Armenteras et al., 2003; Restrepo-Betancur et al., 2019; Torres & Rojas, 2021). Lo cual sugiere llevar a cabo acciones a todo nivel en la sociedad que contribuyan a mitigar y restaurar estos ecosistemas de montaña alto andinos.


De igual manera, como sugiere Fjeldsa & Kessler (2004), la permanencia efectiva de muchos bosques en montaña neotropical dependerá de la integración de la conservación de estos espacios naturales con un panorama más amplio que tenga la intención de cambiar gradualmente los patrones de uso de tierra. Las campañas en áreas rurales, además de señalar los problemas ambientales, informar acerca de alternativas atractivas de uso de la tierra de baja tecnología. La concientización puede a su vez formar la base para el orgullo local, especialmente en áreas con recursos naturales únicos (Fjeldsa & Kessler, 2004).


Para la temperatura del aire, durante los siete años, se encontró variación total que oscila entre 14 y 42.6o C para el periodo correspondiente, siendo los cambios: bajo (18o C) dentro del bosque secundario y alto (42.6 o C) fuera en lote en restauración. Al respecto, Restrepo-Betancur et al. (2019) observaron variaciones significativas que oscilaron entre 21 y 28o C.


Mientras en este trabajo, las mayores fluctuaciones de temperatura se dio fuera en lote en restauración y fue de 15o C; lo cual coincidió con rango reportado (14-26o C) de Roa-García & Brown (2016) para la zona de Barbas-Bremen, Quindío, Colombia; POMCA (2008) reconoce un promedio de temperatura de 17oC; sin embargo Javellas & Thouret (1995) observaron variaciones de temperatura desde 14.5o C y 20o C hasta -1o C y 3,5o C; mientras Girón et al. (2001) reportaron variaciones en la temperatura entre 15 y 30 o C en bosques de Palmas (Ceroxylon quindiuense y C. alpinum); además, se alcanzaron variaciones de la temperatura de sólo 1-2o C (Sturm et al., 1970; Rangel-Ch & Aguirre-C, 1986; Rangel et al., 1989), 8o C (Sturm & Abouchaar, 1981), de 1,3o C y 0,5o C respectivamente (Restrepo-Betancur et al., 2019), de 3,75o C 24o C (POMCA, 2008). Lo que demuestra la inestabilidad térmica en el área del estudio, debido a la deforestación tan marcada.


La temperatura mínima en ambas coberturas presentó estabilidad, pero mayor varianza; mientras la temperatura máxima si registró diferencias en el bosque secundario y en el lote en restauración, con mayor predominancia de cambios abruptos en el lote en restauración. Además, las temperaturas mínima y máxima es menor en el bosque secundario, así es baja y estable en esta cobertura. Al respecto, Easterling et al. (1997) en un análisis de la temperatura media global del aire demostró que ésta se incrementa a causa en parte a cambios diferenciables, en el día, de las temperaturas mínima y máxima, que da como resultado la disminución del rango de la temperatura diurna; mientras Pounds et al. (1999) analizó el efecto del calentamiento relacionado con el aumento de la temperatura del aire con efecto a cambios en abundancia y distribución de especies biológicas (anfibios, reptiles y aves). Se requiere, por lo tanto, un monitoreo permanente de éstas variables y de manera integrada a acciones de mitigación y restauración de los ecosistemas de montaña aquí analizados y en el mejor de los casos decisorios adquirir, por parte de las agencias del estado y la sociedad civil, predios o fincas en venta para restauración y/o conservación, que predominan en el área del estudio; por efecto de las políticas económicas del modelo predominante en Colombia (Sarmiento, 2017).


No se observaron diferencias significativas en los datos del suelo en el contexto espacial (dentro del bosque secundario y en lote en restauración) y temporal (días, meses y años). Es decir, no hay variación estándar o fluctuaciones marcadas de la temperatura del suelo durante el periodo del estudiado. Sin embargo, lo observado acá, es contrario a lo planteado en la literatura clásica sobre el factor temperatura del suelo, porque la mayor oscilación así como la lentitud de los cambios en las temperaturas del suelo ocurren en la superficie misma (Daubenmire, 1979) y su importancia en la estructura de sus comunidades que albergan (Watkinson, 1998).


La disminución de las temperaturas extremas puede explicarse por el efecto de enfriamiento que ejercen los bosques especialmente en los trópicos, pues son los que presentan mayor captación de dióxido de carbono (CO2) y los que tienen mayor capacidad de enfriamiento en comparación a los bosques de zonas templadas y boreales (Lawrence et al., 2022). Por este motivo, la conservación de los bosques tropicales es parte fundamental de los procesos de mitigación y adaptación al cambio climático (Lawrence et al., 2022).


En la cobertura dentro del bosque, la temperatura media del aire aumentó y la temperatura máxima disminuyó, aunque no significativamente, mientras que la temperatura mínima disminuyó estadísticamente. Esto indicó que en las temperaturas máximas y mínimas hubo tendencia a registros más bajos, y de acuerdo al análisis de componentes principales la variación fue más pronunciada con respecto a la temperatura máxima (Figura 30).


Sin embargo lo anterior, para Ruiz-A et al. (2016) cuando la temperatura máxima permanece sin cambios significativos y la temperatura mínima disminuye, se aumenta el rango de temperatura diurna, de la capacidad de evaporación de la atmosfera y disminuye la humedad relativa. Esto coincidió con lo obtenido en nuestros resultados, aunque la disminución de la humedad relativa ocurrió en ambas coberturas, y no fue significativo.


La humedad relativa estuvo alrededor de 70%, con variaciones que oscilaron entre 18 y 100%, además, fue mayor dentro del bosque secundario en octubre de 2014 (76-97%) con respecto a enero de 2021 (64-74%); POMCA (2008) inscribe un promedio para la humedad relativa de 85,4%, que fluctúa entre 62 y 90%, mientras Witte (1995) reportó valores promedio de humedad relativa máxima entre 85% y 95%, la mediana de los promedios mínimos entre 70% y 80%; Sturm et al. (1970) notaron pocos cambios, en esta variables, de 75-91%; mientras Rangel & Espejo (1989) lograron registros continuos y mensuales (enero a diciembre) entre 80-84%; igualmente Rangel-Ch & Aguirre-C. (1986) anotaron observaciones que oscilaron entre 70 y 80%; Girón et al. (2001) reconoció valores de humedad relativa entre 40 y 80%, y Restrepo-Betancur et al. (2019) observaron la humedad relativa entre 58 y 73%; sin embargo, Sturm & Abouchaar (1981) reportaron cambios más extremos de humedad relativa, es decir por debajo del 50%.


En contexto, los bosques de regiones muy lluviosos, la humedad “baja” diurna puede permanecer sobre 80%, mientras que en desiertos puede disminuir hasta menos del 10% (Daubenmire, 1979). Además, las altas humedades que predominan en una vegetación densa son proporcionales a las bajas temperaturas, lo cual demostró que, en este caso, la temperatura es un factor regulador (Daubenmire, 1979). Sin embargo, en este trabajo, no se observó, en ambas coberturas vegetales, asociación estrecha entre humedad relativa y temperaturas. Se resalta de esta manera, el evidente impacto del cambio climático en los ecosistemas de montaña en Colombia, cuyo origen se notó en los efectos antrópicos establecidos desde finales del siglo XIX, por las migraciones del Homo sapiens reconocidas como colonización antioqueña. En este sentido, Meyer & Turner (1992) analizaron el impacto negativo en ambiente natural y entre estos sobre clima, el hecho de aumentar las poblaciones humanas.


Agradecimientos: Cristian Román-Palacios (University of Arizona, USA) leyó versiones de este trabajo y planteó valiosas sugerencias, correcciones que contribuyeron a dar forma y contenido a este artículo. Andrea Lorena García H (CIUQ), facilitó información de las abejas registradas en nuestra zona de estudio y depositadas en la colección de insectos de la Universidad del Quindio (CIUQ). Nathalie Rivera L. colaboró, en algunas ocasiones, en la toma de datos de campo.


Conflicto de interés: Los autores declaran que no se posee conflictos de intereses en relación con nuestro trabajo


Contribución por autor: CR-V concibió la idea, el diseño experimental de campo, toma, procesamiento, análisis y redacción del trabajo; R.IRC. Ideó el diseño experimental de campo, procesamiento, y análisis del trabajo. S.V. toma, procesamiento, análisis y redacción del trabajo.


Financiación o fondos: Se recibió financiación de la Universidad del Quindío: Facultad de Ciencias Básicas y Tecnologías, programa de Biología y de vicerrectoría de investigaciones (proyecto No. 103).


REFERENCIAS


Agudelo Henao, C.A., Velez, N., M.C., Sepúlveda, M. del P. & Macías Pinto, D. (2006). La flora del Quindio Magnoliidae: Winteraceae-Papaveraceae, Hamamelidae: Ulmaceae-Betulaceae-p.20-248.En Agudelo Henao,CA (Comp.) Riqueza Biotica Quindiana, Universidad del Quindío, Vicerectoria de Investigacoions, Armenia

Armenteras, D, Gast F. & Villareal, H. (2003). Andean forest fragmentation and the representativeness of protected natural areas in the eastern Andes, Colombia. Biological Conservation 113, 245-256. https://doi.org/10.1016/S0006-3207(02)00359-2

Cadena, C. D., Pedraza C. A. & Brumfield, R. T. (2016). Climate, habitat associations and the potential distributions of Neotropical birds: Implications for diversification across the Andes. Revista de la Academia Colombiana de Ciencias Exactas, Físicas y Naturales., 40,275-287.

Cardozo, P., J.S., Fajardo D.M, Torres S.J. & Sepúlveda, M. del P. N. (2018). Análisis de la interacción planta-colibrí en la reserva Mirador-Recreo: una perspectiva coevolutiva. Revista de la Asociación Colombiana de Ciencias Biológicas, 30,114-120.

Daubenmire, R.F. (1979). Ecología vegetal: tratado de auto ecología de plantas. Editorial Limusa, tercera edición, México, 496 p.

Easterling, D.R. , Horton, B., Philip D., Jones, P.D., Peterson, T.C., Karl,T.R. , Parker,D.E.,Salinger, J., Razuvayev, V., Plummer, N., Jamason, P. & Folland, C.K. (1997). Maximum and minimum temperature trends for the Globe. Science, 777,364-367

Fjeldsa, J. & Kessler, M. (2014). Conservación de la biodiversidad de los bosques de Polylepis de las tierras altas de Bolivia: Una contribución al manejo sustentable de los Andes. DIVA Technical Report 11, Santa Cruz de la Sierra, Bolivia, 201p.

García, R. P. L., Monsalve, D.E. A. & Bustamante, T. C. A. (2009). Estudio de la variabilidad de la precipitación y la temperatura en la cuenca del Río Quindío. Revista de Investigaciones Universidad del Quindío, (19), 135- 143.

García Parra, A.L., Alzate Alzate, M.L., M.A-Arroyave, Z & López Guzmán, J.H. (2008). Sistema departamental de áreas naturales protegidas SIDAP. ¿En qué hemos avanzado? C.R.Q. Boletín No. 1, 26 p.

García, R. A., Burgess N. D., Cabeza, M., Rahbek, C. & Araújo, M. B. (2012). Exploring consensus in 21st century projections of climatically suitable areas for African vertebrates. Global Change Biology, 18, 1253-1269.

Girón, V.M, Isaza M. & Córdoba, M. del P. (2001). Densidad y patrón espacial de la palma de cera Ceroxylon quindiuense (Karst.) H. Wendl. En Girón V. M.G. (edit.) 2001. Bosques de Palma de Cera, Centro de publicaciones, Universidad del Quindio-Pronata, Armenia, Colombia, 252 p.

Gómez-Cruz, N.G., Santos-Hernández, J.A., Cruz, D., Ariano-Sánchez, Ch., Ruiz-Castillejos, E.E., Espinoza-Medinilla E. & De Fuentes-Vicente, J.A. (2021). Effect of climate on the potential distributions of Heloderma alvarezi (Squamata, Helodermatidae). ZooKey, 1070, 1-12.

Harrington, R, Woiwod I. & Sparks, T. (1999). Climate change and trophic interactions. Trends in Ecology & Evolution, 14, 146-150.

Holdridge, L.R. (1968). Ecología basada en zonas de vida. San Jose de Costa Rica, IICA.216p.

Hughes, L. (2000). Biological consequences of global warming: is the signal already apparent? Trends in Ecology & Evolution, 15,56-61

Javellas, R. & Thouret, J.C. (1995). Estudio de las temperaturas de las estaciones meteorológicas del transecto parque de los nevados (Cordillera Central de Colombia) p. 241-278. In Van Der Hammen,T & A.G. Dos Santos (Eds).Studies on tropical andean ecosystems Vol. 4,J. Cramer, Berlin.

Mejía, G. M. (1983). Clasificaciones climáticas, clasificaciones ecológicas. Universidad Nacional de Colombia, Facultad de Ciencias agropecuarias, Palmira, Colombia, Unidad Tutorial: Guía de estudio audiovisual complemento, segunda edición, 30 p.

Meyer, W.B. & Turner II, B.L. (1992). Human population growth and global land-use/cover change. Annual Review Ecology and Systematics, 23, 39-61.

PAST (2001). Paleontological Statistics software package for education and data analysis. Paleontologia electronica Hammer Ø, Harper, DAT., Ryan, P. D. 4, 1-9 pp.

POMCA. (2008). Plan de ordenación y manejo de la cuenca del Río La Vieja. CRQ, CVC, CARDER, IDEAM y Parques Nacionales; 358 p.

Pounds, J.A., Fogden M.P.L. & Campbell. J.H. (1999). Biological responses to climate change on a tropical mountain. Nature, 398:611-615

Rangel-CH., O. & Aguirre-C, .J.(1986). Estudios ecológicos en la Cordillera Oriental Colombiana III. - La vegetación de la cuenca del lago de Tota (Boyacá). Caldasia, XV, 71-75.

Rangel-CH., O. & Espejo, N. E. (1989). Clima, cap. 2 p. 16-38. In: Cacicazgos prehispánicos del Valle de la Plata, Tomo I: Herrera, L.F., R.D. Drennan & C.A. Uribe (edit.). University of Pittsburg Memoirs In Latin American Archeology, No. 2.

Rangel-CH., O., Aristide, L.U. & Román Valencia, C. (1989). Mesofauna del estrato rasante en localidades del Valle de la Plata y aproximaciones eco climáticas, p.120-129. In: Cacicazgos prehispánicos del Valle de la Plata, Tomo I: Herrera, L.F., R.D., Drennan. &. Uribe, C.A (edit.). University of Pittsburg Memoirs In: Latin American Archeology, No. 2.

Restrepo-Betancur, L.F., Peña-Serna, C. & Martínez-González, M.F. (2019). Climate changes in the city of Medellin – Colombia, throughout fifty years (1960-2010). Dyna, 86, 312-318.

Roa-García, M. C. & Brown, S. (2016). Caracterización de la acumulación de carbono en pequeños humedales andinos en la cuenca alta del río Barbas (Quindío, Colombia). Caldasia, 38:117-135

Román-Valencia, C., Ruiz-C. R., Taphorn, D. & Duque, O. (2018). Guía para la identificación de los peces del río La Vieja, Alto Cauca, Colombia. EUMED, España, 186 p.

Román-Valencia, C., M. del P. Sepúlveda Nieto & German D. Gómez Marín. Sometido. Composición y estructura de la flora vascular en tres coberturas vegetales de la reserva Mirador-Recreo, zona occidental de la cordillera Central, Andes de Colombia. Revista Biodiversidad Neotropical (agosto de 2022).

Rangel-CH., O. & Aguirre-C., J. (1986).Estudios ecológicos en la cordillera oriental colombiana III. - La vegetación de la cuenca del lago de Tota (Boyacá). Caldasia, XV, 71-75

Ruíz-A O, Espejel-T D, Ontiveros-C R, Enciso J, Galindo-R M, Quesada-P M, Grageda-G J, Ramos-R R, Ruíz C J. 2016. Monthly trend of maximum and minimum temperatures in Aguascalientes, Mexico. Revista Mexicana de Ciencias Agrícolas, 7(spe13), 2535-2549.

Rungruangsak-Torrissen, K. (2016). Let’s make a difference in marine research on environmental impact and climate change. Annals of Marine Biology and Research, 3, 1009.

Sarmiento, P.E. (2017). Lecturas sobre producción, capital y salario: bases para una nueva

teoría. Bogotá, Escuela Colombiana de Ingeniería, 301p.il.

Sturm, S. H., Abouchaar, A.L., de Bernal, R. & de Hoyos, C. (1970). Distribución de animales en las capas bajas de un bosque húmedo tropical de la región Carare - Opón (Santander, Colombia). Caldasia, 10,529-577.

Sturm, H. & Abouchaar, A.L. (1981). Observaciones sobre la ecología del páramo andino de Monserrate. Caldasia, XIII, 223-256.

Van Der Hammen, T. (1995). La dinámica del medio ambiente en la alta montaña Colombiana: Historia, cambio global y biodiversidad p. 11-15. En: Lozano,J.A. & J. D. Pabón (Edits.). Memorias del seminario taller sobre alta montaña Colombiana, Academia Colombiana de Ciencias Exactas, Físicas y Naturales, colección memorias No. 3.114pp

Van Der Hammen, T., Witte H.J.L. & van Reenen, G.B.A. (1995). Aspectos eco climatológicos del área del transecto parque de los nevados. p. 329-364. In Van Der Hammen,T. & Dos Santos, A.G. (Eds).Studies on tropical Andean ecosystems Vol. 4,J. Cramer, Berlin.

Vargas, W. (2002). Guía ilustrada de las plantas de las montañas del Quindío. Edit. Universidad de Caldas, colección ciencias agropecuarias, Manizales, 814p.

Watkinson, A.R. (1998). The role of the soil community in plant population dynamics. Trends in Ecology & Evolution, 13,171-172.

Witte, H.J.L. (1995). Seasonal and altitudinal distribution of precipitation, temperature and humidity in the parquet de los nevados transect (Central Cordillera, Colombia p.279-328. In Van Der Hammen,T & Dos Santos, A.G. (Eds).Studies on tropical andean ecosystems Vol. 4, J. Cramer, Berlin.


Figura 1. Aplicación de la prueba de normalidad de Shapiro Wilk. A. Distribución de los datos sobre la temperatura media del aire, durante todo el periodo de muestreo, en el área de bosque secundario (DS) con índice de correlación 0,99 y en lote en restauración (FS), con índice de correlación 0,95. B. Datos de la temperatura ambiente en ambas áreas: Dentro de bosque secundario (DS) y fuera en lote en restauración (FS); el punto () corresponde a la media y la raya vertical y horizontal son el rango de los datos |——|.


Figura 2. Registros mensual multianual para la temperatura media del aire en el bosque secundario (DS) y en lote en restauración (FS) en la finca el Mirador-Recreo, Andes de Colombia. To C: temperatura del aire en grados centígrados.


C:\Users\Admin\Desktop\Fig 3 CC.jpg

Figura 3A. Análisis de Componentes Principales (ACP) sobre los promedios mensuales de las temperaturas del aire en las áreas bajo comparación; DS (bosque secundario) y FS (lote en restauración), entre 2014 y enero de 2021. Véase tabla 3A sobre los valores correspondientes a los componentes 1 y 2.


Figura 3B. Valor de las cargas de los coeficientes para los componentes 1 y 2, derivados del Análisis de Componentes Principales (ACP) sobre los promedios anuales de las temperaturas del aire en las áreas de comparación; entre 2014 y enero de 2021.


Figura 4. Análisis de Componentes Principales (ACP) sobre los promedios anuales de las temperaturas del aire, temperatura mínima y temperatura máxima en las áreas de comparación; DS (bosque secundario) y FS (lote en restauración), entre 2014 y enero de 2021. T°: temperatura en grados centígrados; T° FS: Temperatura en grados centígrados en área lote en restauración; T° DS: Temperatura en grados centígrados en área bosque secundario; T° Max FS: Temperatura máxima en grados centígrados área deforestada; T° MaxDS: Temperatura máxima en grados centígrados en área bosque secundario; T° Min FS: Temperatura mínima en grados centígrados en área lote en restauración; T° Min DS: Temperatura mínima en grados centígrados en bosque secundario; los puntos (●) son los datos y las líneas corresponden a la tendencia en la distribución de las variables. Véase tabla 3A sobre los valores correspondientes a los componentes 1 y 2.


Figura 5. Dispersión de la temperatura media del aire en un intervalo de 12 horas en las coberturas: A: Dentro del bosque y B: Fuera del bosque.


Figura 6. Dispersión de la temperatura media del aire en un intervalo de 24 horas en las coberturas: A: Dentro del bosque y B: Fuera del bosque.


Figura 7. Climogramas de la humedad relativa (barras) vs temperaturas media del aire, máxima, mínima y del suelo multianual de la reserva El Recreo-Mirador. A: Dentro del bosque. B: Fuera del bosque.


Figura 8. Comparación de la temperatura media del aire interanual entre coberturas observadas de la reserva El Mirador-Recreo.


Figura 9. Temperatura media del aire en un intervalo de 24 horas (13:00hr- 12:00hr) en dos tipos de coberturas de los alrededores de la quebrada Los Ramírez afluente Rio Itálica, Quinchía Risaralda, octubre 15-18 de 2004.


Figura 10. La aplicación de la prueba de normalidad de Shapiro Wilk. A. Distribución de los datos sobre la temperatura mínima del aire, en el bosque secundario (DS) con índice de correlación 0,98 y en lote en restauración (FS), con índice de correlación 0,94. B. Datos de la temperatura mínima en ambas áreas: de bosque secundario (DS) y lote en restauración (FS); el punto (●) corresponde a la media y la raya vertical y horizontal son el rango de los datos |——|.


C:\Users\Admin\Downloads\CCTMIn.jpg

Figura 11. Análisis de Componentes Principales (ACP) sobre los promedios anuales de la temperatura mínima del aire en las áreas de comparación: DS (bosque secundario) y FS (lote en restauración), entre 2014 y enero de 2021. FS: Temperatura en grados centígrados en área lote en restauración; DS: Temperatura en grados centígrados en área bosque secundario; los puntos (●) son los datos y las líneas corresponden a la tendencia en la distribución de las variables. Véase tabla 3A sobre los valores correspondientes a los componentes 1 y 2.


Figura 12. Aplicación de la prueba de normalidad de Shapiro Wilk. A. Distribución de los datos sobre la temperatura máxima del aire, en bosque secundario (DS) con índice de correlación 0,98 y lote en restauración (FS) con índice de correlación 0.86. B. Datos de la Temperatura máxima en ambas áreas: de bosque secundario (DS) y lote en restauración (FS); el punto (●) corresponde a la media y la raya vertical y horizontal son el rango de los datos |——|.


C:\Users\Admin\Downloads\Fig_Tem_Max.jpg

Figura 13. Análisis de Componentes Principales (ACP) sobre los promedios mensuales de la temperatura máxima del aire en las áreas de comparación: DS (bosque secundario) y FS (lote en restauración), entre 2014 y enero de 2021. FS: Temperatura en grados centígrados lote en restauración; DS: Temperatura en grados centígrados en bosque secundario; los puntos (●) son los datos y las líneas corresponden a la tendencia en la distribución de las variables. Véase tabla 3A sobre los valores correspondientes a los componentes 1 y 2.


Figura 14. Promedio multianual, entre 2014, 2018-2021, de la temperatura mínima en las estaciones de muestreo en la finca Mirador-Recreo con dos procedimientos RDS (Registros bosque secundario), y RFS (Registros lote en restauración), respecto a lo registrado en las correspondientes estaciones meteorológicas de Cenicafé (La Bella, Paragüacito y Maracay. To : temperatura en grados centígrados.


Figura 15. Dispersión de la temperatura mínima en un intervalo de 12 horas en la cobertura A: Dentro del bosque. B: Fuera del bosque


Figura 16. Dispersión de la temperatura mínima en un intervalo de 24 horas en las coberturas: A: Dentro del bosque y B: Fuera del bosque


Figura 17. Promedios multianual, entre 2014, 2018-2021, de la temperatura máxima en las estaciones de muestreo en la finca Mirador-Recreo con dos procedimientos RDS (Registros bosque secundario y RFS (Registros lote en restauración) con relación a las estaciones de Cenicafé: La Bella, Paragüacito y Maracay.


Figura 18. Dispersión de la temperatura máxima en un intervalo de 12 horas en las coberturas A: Dentro del bosque y B: Fuera del bosque. Durante el periodo 2014-2021


Figura 19. Dispersión de la temperatura máxima en un intervalo de 24 horas en las coberturas A: Dentro del bosque y B: Fuera del bosque. Durante el periodo de 2014 a 2021.


Figuraa 20. Dispersión de la temperatura del suelo en un intervalo de 12 horas en las coberturas A: Dentro del bosque y B: Fuera del bosque.


Figura 21. Dispersión de la temperatura del suelo en un intervalo de 24 horas en las coberturas: A: Dentro del bosque y B: Fuera del bosque.


Figura 22. Comparación de la variabilidad de la temperatura del suelo interanual de las coberturas Dentro y Fuera del bosque en la reserva El mirador-recreo.


Figura 23. La aplicación de la prueba de normalidad de Shapiro Wilk. A. Distribución de los datos sobre la humedad relativa, en el bosque secundario (DS) con índice de correlación 0,99 y en lote en restauración (FS) con índice de correlación 0,99. B. Datos de la Humedad relativa en ambas áreas: de bosque secundario (DS) y lote en restauración (FS); el punto (●) corresponde a la media y la raya vertical y horizontal son el rango de los datos |——|.


Figura 24. Promedio multianual, entre 2014, 2018-2021, de la humedad relativa en las estaciones de la finca Mirador-Recreo con dos procedimientos RDS (Registros dentro de bosque secundario), RFS (Registros lote en restauración), con relación a las estaciones de Cenicafé: La Bella, Paragüacito y Maracay.


Figura 25. Dispersión de la humedad relativa en un intervalo de 12 horas en las coberturas: A: Dentro del bosque y B: Fuera del bosque.


Figura 26. Dispersión de la humedad relativa en 24 horas continúas. A: Dentro del bosque y B: Fuera del bosque


Figura 27. Comportamiento de la humedad relativa en un intervalo de 24 horas de la cobertura dentro del bosque de los alrededores de la quebrada Los Ramírez afluente Rio Italica, Quinchía Risaralda en el año 2004.


Figura 28. Promedio multianual, entre 2014, 2018- 2021, de la temperatura media del aire, en las estaciones de la finca Mirador-Recreo con dos procedimientos RDS (Registros dentro de bosque secundario), RFS (Registros lote en restauración), con relación a las estaciones de Cenicafé: La Bella, Paragüacito y Maracay.


Figura 29. Análisis de Componentes Principales (ACP) sobre los promedios anuales, entre 2014, 2018- 2021, de la temperatura del aire en las áreas de comparación DS (bosque secundario) y FS (lote en restauración) dentro de la finca El Mirador-Recreo, con relación a las estaciones de Cenicafé: La Bella, Paragüacito y Maracay; los puntos (●) son los datos y las líneas corresponden a la tendencia en la distribución de las variables. Véase tabla 3D sobre los valores correspondientes a los componentes 1 y 2.


Figura 30. Análisis de componentes principales de las temperaturas de la reserva El mirador recreo. PC1: Componente principal 1; PC2: Componente principal 2.